Общие правила комбинаторики
Решение многих комбинаторных задач основывается на двух фундаментальных правилах, называемых правилом суммы и правилом произведения.
Определимся в терминологии. Если имеется 5 шаров в ящике, то мы будем говорить, что один шар из ящика можно выбрать пятью способами.
Правило суммы.
Если объект А можно выбрать n способами, а объект В-k способами,то объект "А или В" можно выбрать n+k способами.
Пример 1.
В ящике находятся 20 шаров: 5 белых, 6 черных, 7 синих и 2 красных. Сколькими способами можно взять из ящика один цветной шар?
Решение.
Здесь предполагается, что цветной шар - это синий или красный, поэтому надо применять правило суммы. Цветной шар можно выбрать 7 + 2 = 9 способами.
Правило произведения.
Если объект А можно выбрать n способами, а объект В независимо от него - k способами, то пару объектов "А и В" можно выбрать n•k способами.
Пример 2.
Сколько может быть различных комбинаций выпавших граней при бросании двух игральных костей? (Игральная кость - это кубик, на гранях которого нанесены числа 1, 2, 3, 4, 5, 6 )
Решение.
На первой кости может выпасть 1, 2, 3, 4, 5 или 6 очков, то есть всего будет 6 вариантов. Точно так же и на второй кости 6 вариантов. Получится всего 6 • 6 = 36 способов.
Правила суммы и произведения справедливы не только для двух, но и для любого числа объектов.
Приведем еще несколько примеров, в которых необходимо выбрать правило суммы или произведения.
порядокПример 3.
Из города А в город В ведут 5 дорог, а из города В в город С - 3 дороги. Сколькими способами можно проехать из города А в город С?
Решение.
Чтобы проехать из А в С, надо проехать из А в В и из В в С, поэтому применим правило произведения. 5 • 3 = 15.
Пример 4.
На книжной полке стоят 3 книги по алгебре, 4 книги по геометрии и 5 книг по литературе. Сколькими способами можно взять с полки одну книгу по математике?
Решение.
Книга по математике - это книга по алгебре или по геометрии. Применяем правило суммы. 3 + 4 = 7.
Пример 5.
В меню имеется 4 первых блюда, 3 вторых и 2 третьих. Сколько различных полных обедов можно из них составить?
Решение.
Полный обед состоит из первого, и второго, и третьего блюд. По правилу произведения получаем 4 • 3 • 2 = 24 различных полных обеда.
Размещения
Если из данного множества предметов мы будем выбирать некоторое подмножество, то его будем называть выборкой.
Выборки бывают упорядоченные и неупорядоченные.
В упорядоченной выборке существенен порядок, в котором следуют ее элементы, другими словами, изменив порядок элементов, мы получим другую выборку. Например, из цифр 1, 2, 3, 4, 5 составляем трехзначные числа 123, 431, 524, ...и т.д. Это упорядоченные трехэлементные выборки, ведь 123 и 132 - разные числа. Другой пример: из 20 учащихся класса будем выбирать двух дежурных. Любая пара дежурных представляет собой неупорядоченную двухэлементную выборку, так как порядок их выбора не важен.
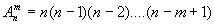
Определение 1. Размещениями из n элементов по m
называются упорядоченные m -элементные выборки из данных n элементов.
Из определения следует, что размещения отличаются друг от друга либо самими элементами, либо их порядком.
Число размещений из n по m обозначается
![]()
Чтобы вывести формулу числа размещений, заметим, что первый элемент в выборку мы можем выбрать n способами, второй из оставшихся n-1 элементов
(n-1) способами, третий - (n-2) способами и так далее, m-й элемент можно выбрать n-(m-1) = n-m+1 способами. По правилу произведения получим:
(***)
Заметим, что верхний индекс 3 показывает, сколько сомножителей надо взять в произведение.
Пример 6. Составить все из трех букв А, В, С по две буквы.
Решение. Это будут: АВ, АС, ВС, ВА, СА, СВ.
Проверим по формуле:
Их действительно 6 штук. Отметим, что АВ и ВА - разные размещения.
Пример 7. На пяти карточках написаны числа 1, 2, 3, 4, 5. Сколько различных трехзначных чисел можно из них составить?
Решение. Трехзначные числа представляют собой трехэлементные выборки из пяти цифр, причем, выборки упорядоченные, поскольку порядок цифр в числе существенен. Значит, этих чисел будет столько, сколько существует размещений из пяти элементов по 3.
Ответ: 60 чисел.
Часто формулы комбинаторики записывают с помощью факториалов. Произведение всех последовательных натуральных чисел от 1 до n обозначается n! (читается: эн-факториал). n! = 1 • 2 • 3 • ... • n. (****)
Условились считать, что 0! =1. Формулу (***) можно теперь преобразовать. Умножим и разделим правую часть этой формулы на выражение (n-m)! = 1 • 2 • 3 • ... •(n-m). Тогда получится:
![]()
вычислим по этой формуле:
при известных значениях m и n формула (***) удобнее
Перестановки
Определение 2 Перестановками из n элементов называются размещения из n элементов по n.
Из определения следует, что в данном случае в упорядоченную выборку входят все n элементов и отличаться выборки могут только порядком. Поэтому все перестановки имеют один и тот же состав и отличаются только порядком элементов.
Число перестановок из n элементов обозначается
. Подставляя в формулу (***) или m = n, получим формулу для вычисления числа перестановок из n элементов:
(****)
Приведем несколько примеров использования этой формулы.
Пример 8.Составить все размещения из трех букв А, В, С.
Решение. АВС, АСВ, ВАС, ВСА, СВА, САВ. Проверим по формуле:
Пример 9. Сколькими способами можно расставить 7 книг на книжной полке? Решение.
Каждая расстановка будет отличаться от другой порядком следования книг. Поэтому это будут перестановки из семи элементов.
![]()
Ответ: 5040 способами.
Пример 10. Сколько шестизначных чисел можно составить из цифр 0, 1, 2, 3, 4, 5 так, чтобы цифры в числе не повторялись?
Решение. Из данных шести цифр можно составить
Но числа, начинающиеся на нуль, не являются шестизначными. Такие числа отличаются друг от друга перестановкой пяти остальных цифр, значит, их будет
Поэтому шестизначных чисел будет 720 - 120 = 600.
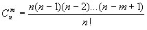
Сочетания
Определение 3. Сочетаниями из n элементов по m
) называются неупорядоченные m-элементные выборки из данных n элементов.
Ясно, что все сочетания отличаются друг от друга хотя бы одним элементом, а порядок элементов здесь не существенен.
Число сочетаний из n по m обозначается Например:
Пример 11. Составить все сочетания из трех букв А, В, С по две буквы.
Решение. Это будут АВ, АС, ВС. Проверим по формуле
(Обратите внимание, что АВ и ВА - это одно и то же сочетание, но разные размещения.)
Решение Надо выбрать двух человек из 20. Ясно, что от порядка выбора ничего не зависит, то есть Иванов-Петров или Петров-Иванов - это одна и та же пара дежурных. Следовательно, это будут сочетания из 20 по 2.
Ответ: 190 способами.
Пример 13. Сколькими способами можно группу из 15 учащихся разделить на две группы так, чтобы в одной группе было 4, а в другой - 11 человек?
Решение. Чтобы разделить эту группу, достаточно выбрать 4 человека из 15, а оставшиеся сами образуют другую группу. А выбрать 4 человека из 15 можно
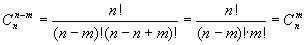
Сочетания обладают свойством
В этом легко убедится с помощью формулы
Оценим удобство вычислений
Чтобы из сочетаний получить размещения, надо упорядочить каждую m-элементную выборку, а это можно сделать m! способами. Следовательно, число сочетаний
меньше
числа размещений
в m! раз. Учитывая этот факт, получим соответствующие формулы для вычисления числа сочетаний:
и
.
![]()
![]()
![]()
способами
. Получается тот же ответ. Возникает подозрение, что
. Это действительно так.
.
.