|
А Л Г Е Б Р А . 8 к л а с с
Подготовка к контрольной работе № 1
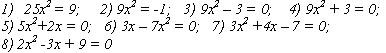
1. Решить неравенства:

2. Доказать, что неравенство верно при любых значениях
а

3. Решить систему неравенств:
=======================================================
4. Найти все целые числа, являющиеся решением неравенства
5. Длина прямоугольника больше 15 см, а ширина в 3 раза меньше длины. Доказать, что периметр прямоугольника
больше 30 см.
|